根据之MIT微分方程视频所做的笔记—[第4集] 一阶方程代换法。
—————————————————————————————
视频地址:http://open.163.com/special/opencourse/equations.html
—————————————————————————————
这节课的内容:
尺度变换
属于线性变换,好处有:
1,改变单位
2,将变量变换为不带单位的纯数字
3,简化方程中的常数
换元法的种类
正向换元与反向换元
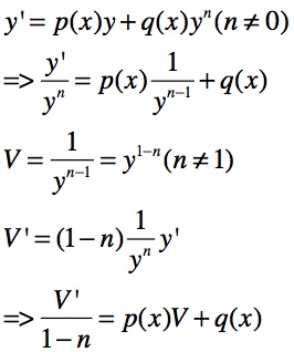
例题(伯努利方程)
转换成线性方程。
例题
一阶齐次ODE
齐次方程的特性:
对缩放变换不变。
x->ax, y->ay.
齐次方程变换使用 z=y/x => y=zx => y’=z’x+z
例题(建模)

![[第4集] 一阶方程代换法](http://www.classnotes.cn/wp-content/uploads/2015/12/13001.jpg)
![[第4集] 一阶方程代换法](http://www.classnotes.cn/wp-content/uploads/2015/12/13002.jpg)
![[第4集] 一阶方程代换法](http://www.classnotes.cn/wp-content/uploads/2015/12/13003.jpg)
![[第4集] 一阶方程代换法](http://www.classnotes.cn/wp-content/uploads/2015/12/13004.jpg)
![[第4集] 一阶方程代换法](http://www.classnotes.cn/wp-content/uploads/2015/12/13005.jpg)
![[第4集] 一阶方程代换法](http://www.classnotes.cn/wp-content/uploads/2015/12/13006.jpg)
![[第4集] 一阶方程代换法](http://www.classnotes.cn/wp-content/uploads/2015/12/13007.jpg)
扫一扫,打赏作者吧~