根据之MIT微分方程视频所做的笔记—[第11集] 二阶齐次线性方程
—————————————————————————————
视频地址:http://open.163.com/special/opencourse/equations.html
—————————————————————————————
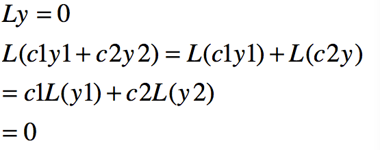
1,叠加原理
如果y1和y2是线性方程的解,那么c1y1+c2y2是线性齐次ODE的一个解。
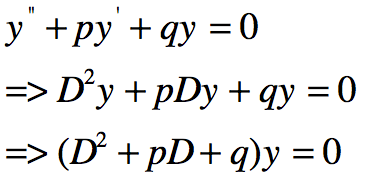
2,线性算子L
3,线性算子L的特性
u1,u2是x的函数。
4,叠加原理证明
5,初值问题
对于齐次方程:y”+py’+qy=0
有且仅有一个解同时满足满足:
y(0)=A
y’(0)=B
其中p、q连续。

![[第11集] 二阶齐次线性方程](http://www.classnotes.cn/wp-content/uploads/2019/11/05001.png)
![[第11集] 二阶齐次线性方程](http://www.classnotes.cn/wp-content/uploads/2019/11/05002.png)
![[第11集] 二阶齐次线性方程](http://www.classnotes.cn/wp-content/uploads/2019/11/05003.png)
![[第11集] 二阶齐次线性方程](http://www.classnotes.cn/wp-content/uploads/2019/11/05004.png)
扫一扫,打赏作者吧~