根据之MIT微分方程视频所做的笔记—[第7集] 一阶常系数线性方程。
—————————————————————————————
视频地址:http://open.163.com/special/opencourse/equations.html
—————————————————————————————
这节课的内容:
稳态解
一阶方程
当t->∞时,所有解趋向于一个稳定值。存在稳态解的条件是k>0,如果k<0,这些方程稳态问题和稳态解没有意义。
输入-响应分析
q(t)是输入,y的解是响应。
线性方程
一阶方程的线性输入会造成响应的线性变换。
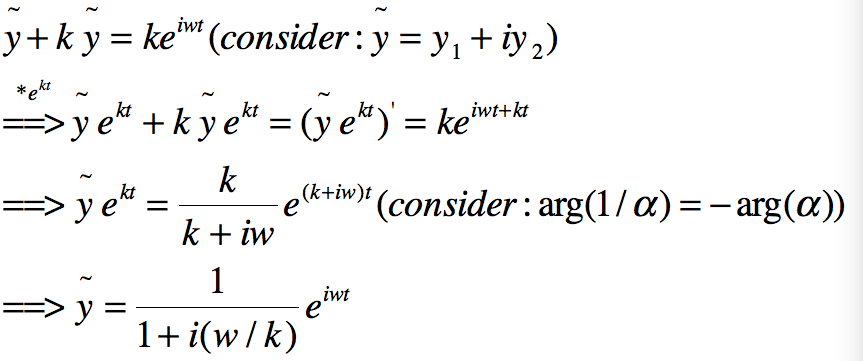
求解方程中,先用y~替换y进行积分组合,消去复杂部分。
这里的证明用到了复数的辐角公式,z=r*e^(i*φ),r是z的模。这里A是1/(1+i(w/k))的模,由于arg(1+i(w/l))=φ,根据幅角的特性,arg(1/α)=-arg(α),所以变成了e^(-iφ)
代入到上面的式子中,就可以得到y~的实部y1

![[第7集] 一阶常系数线性方程](http://www.classnotes.cn/wp-content/uploads/2018/02/17001.jpg)
![[第7集] 一阶常系数线性方程](http://www.classnotes.cn/wp-content/uploads/2018/02/17002.png)
![[第7集] 一阶常系数线性方程](http://www.classnotes.cn/wp-content/uploads/2018/02/17003.png)
![[第7集] 一阶常系数线性方程](http://www.classnotes.cn/wp-content/uploads/2018/02/17004.png)
![[第7集] 一阶常系数线性方程](http://www.classnotes.cn/wp-content/uploads/2018/02/17005.png)
扫一扫,打赏作者吧~